НОВОСТИ   БИБЛИОТЕКА   КАРТА САЙТА   ССЫЛКИ   О ПРОЕКТЕ  






предыдущая главасодержаниеследующая глава

1. Уборка и разливка чугуна

Для транспортирования чугуна от доменных печей к миксерам сталеплавильных цехов или разливочным машинам служат чугуновозные ковши, которые перевозятся средствами железнодорожного цеха завода по указанию диспетчера доменного цеха в соответствии с графиком, утвержденным начальником доменного цеха. В доменных цехах эксплуатируют чугуновозные ковши двух типов - конической открытой и грушевидной полузакрытой формы.

Открытые ковши конической формы - ковши старой конструкции, в которых теряется много чугуна в виде скрапа и "козлов", образующихся в результате большого излучения тепла. Их в настоящее время не выпускают и эксплуатируют только в небольших цехах. Сейчас на заводах в основном используются ковши грушевидной формы полузакрытого типа емкостью 80 и 100 г (рис. 102). По конструкции ковш емкостью 100 т отличается только размерами чаши. Эти ковши характеризуются хорошими эксплуатационными свойствами. Такой чугуновозный ковш состоит из собственно ковша сварной конструкции, футерованного изнутри огнеупорным кирпичом, рамы и двух ходовых тележек.

Рис. 102. Чугуновозный ковш: 1 - рама; 2 - ковш; 3 - лапа; 4 - кожух; 5 - нижняя цапфа; 6 - кронштейн; 7 - тележка; 8 - фигурная щека
Рис. 102. Чугуновозный ковш: 1 - рама; 2 - ковш; 3 - лапа; 4 - кожух; 5 - нижняя цапфа; 6 - кронштейн; 7 - тележка; 8 - фигурная щека

Вал кронштейна и цапфы на броне ковша служат для его подъема и слива чугуна в миксер или на разливочной машине. В верхней части ковша предусмотрены сливные носки. Тележка лафета оборудована автосцепкой. Футеровка выполнена из шамотного кирпича I сорта классов А и Б; толщина швов между кирпичами в дне не более 1 мм, а для стенок - не более 2 мм. Между кожухом и кладкой оставляется зазор 20 - 25 мм, заполняемый густой огнеупорной массой. По окончании кладки ковш тщательно просушивают газовой горелкой или костром из дров обычно в течение 18 - 20 ч. Признаком хорошей просушки является нагрев кожуха до 40 - 50°С. Надзор за исправным состоянием, ремонт и футеровку чугуновозных ковшей обеспечивает персонал доменного цеха.

Кожух и лафет служат очень долго. Футеровку обновляют по мере ее износа. Кладку в ковше обязательно меняют в случае закозления, т. е. зарастания чугуном, или разгара первого внутреннего ряда кирпича. При капитальном ремонте кладку заменяют полностью, а при текущем - частично. Чем лучше уход за ковшом, тем больше он находится в эксплуатации. Во время выпуска чугуна необходимо следить за тем, чтобы в ковши не попадал шлак, так как он быстро разъедает футеровку. После каждого налива ковш очищают от "мусора" - скрапа, графита, шлака и присыпки, которой засыпают горловину ковша после его наполнения. В качестве присыпки используют обычно коксовую мелочь из-под грохотов коксовых бункеров. Помимо ухода за футеровкой, необходим также надзор за состоянием кожуха ковша и ходовой частью лафета (тележки), что является обязанностью персонала механической службы доменного цеха. На заводах, где применяются огнеупоры хорошего качества, при соблюдении всех правил кладки и эксплуатации ковш выдерживает до 130 - 140 наливов.

Количество чугуновозных ковшей можно определить, зная производительность цеха и оборот одного ковша. Практикой установлено, что резерв большого доменного цеха, состоящего из нескольких печей, должен составлять 4 - 5 ковшей. Кроме того, 4 - 5 ковшей находятся на ремонте (футеровки, ходовой части, кожуха, лафета и т. д.).

Пример расчета необходимого количества 100-т чугуновозных ковшей для цеха с суточной производительностью 12000 т

Средний оборот одного ковша, куда входит время налива и слива чугуна, движение ковша, очистка и т. д., принимаем равным 4 ч. Средняя заполняемость 100-т ковша составляет 80 т.

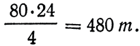
В один ковш можно налить за сутки


Необходимо одновременно иметь в работе


Общее количество чугуновозных ковшей, необходимых для цеха:

25 + 5 + 5 = 35 ковшей,

где 5 и 5 - количество ковшей в ремонте и резерве.

Доменный цех не может работать без разливочных машин. Даже в цехах, где чугун полностью потребляется сталеплавильным цехом, разливочные машины необходимы на случай уменьшения потребности в жидком чугуне (например, при выводе некоторых сталеплавильных печей в ремонт).

Для разливки чугуна в небольшие слитки (чушки) применяется двухленточная разливочная машина конвейерного типа производительностью до 1500 т/сутки (рис. 103).

Рис. 103. Разливочная машина: 1 - лента; 2 - двигатель; 3 - редуктор; 4 - муфта; 5 - приводное зубчатое колесо; 6 - каркас машины; 7 - нижнее зубчатое колесо; 8 - разливочная площадка; 9 - тележка чугуновоза; 10 - стенд для крантования ковшей; 11 - ковш; 12 - опоры, которыми ковш опирается на стенд; 13 - коридор; 14 - лоток; 15 - перекидной желоб; 16 - железнодорожный вагон; 17 - брызгала; 18 - помещение для опрыскивателей
Рис. 103. Разливочная машина: 1 - лента; 2 - двигатель; 3 - редуктор; 4 - муфта; 5 - приводное зубчатое колесо; 6 - каркас машины; 7 - нижнее зубчатое колесо; 8 - разливочная площадка; 9 - тележка чугуновоза; 10 - стенд для крантования ковшей; 11 - ковш; 12 - опоры, которыми ковш опирается на стенд; 13 - коридор; 14 - лоток; 15 - перекидной желоб; 16 - железнодорожный вагон; 17 - брызгала; 18 - помещение для опрыскивателей

Ковш подают в отделение и устанавливают перед стендом. С помощью кантовальной тележки ковш наклоняют, и чугун по желобу стекает на ленты, на которых укреплены мульды.

Лента приводится в движение электродвигателем, усилие от которого через редуктор передается на ведущие звездочки. При вращении последних лента движется, и при опрокидывании мульды чушка падает в вагон. Чтобы ускорить охлаждение, чушки на лентах и в вагонах обильно поливают водой.

Во избежание пригара чугуна к мульдам их опрыскивают известковым молоком. В разгрузочной части лент находятся молотковые механизмы, облегчающие извлечение чушек из мульд. После опрыскивателя установлены газовые горелки для подсушки мульд, чтобы предупредить выброс чугуна. Количество разливочных машин определяется массой разливаемого чугуна.

Слаженная и четкая работа при уборке чугуна в значительной мере влияет на хорошую и безаварийную работу доменных печей. Нарушение графика выпуска чугуна, как уже отмечалось, может повлечь за собой не только расстройство хода доменной печи, но и крупную аварию.

предыдущая главасодержаниеследующая глава








© METALLURGU.RU, 2010-2020
При использовании материалов сайта активная ссылка обязательна:
http://metallurgu.ru/ 'Библиотека по металлургии'
Рейтинг@Mail.ru
Поможем с курсовой, контрольной, дипломной
1500+ квалифицированных специалистов готовы вам помочь